石头剪刀布儿歌 石头剪刀布儿歌歌词
2023.06.20 1 0
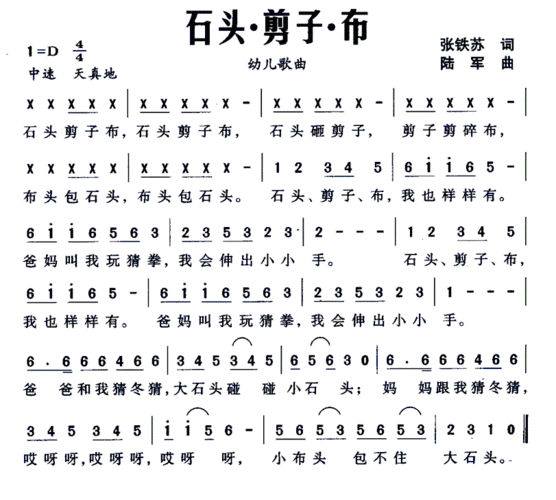
《石头剪刀布》是一首适合幼儿园小、中、大班幼儿及低年级小学生演唱的歌曲。歌曲旋律在尽量突出民族特色的基础上,兼顾到西洋大小调式的运用,并尝试着将流行音乐、戏曲、部分少数民族地区的音乐元素融入到歌曲创作中。
文章目录:

一、石头剪刀布儿歌
《石头剪刀布》是一首适合幼儿园小、租启中、大弯银班幼儿及低年级小学生演唱的歌曲。歌曲旋律在尽量突出民族特色的基础上,兼顾到西洋大小调式的运用,并尝试着将流行音乐、戏曲、部分少数民族地区的音乐元素融入到歌曲创作中。


石头剪刀布儿歌
一二三,剪拳布,一二三,剪拳布,剪刀剪破布,布来包石头,石头锤剪刀,看谁猜得对,嘿!一二三,剪拳布,一二三,剪拳布,剪刀剪破布,布来包石头,石头锤剪刀,看谁猜得对,嘿!

“石头剪刀布”其实是个心理游戏,尤其是第一次出拳的时候,和心理性格的关系很大。每个人都有出拳的偏好,喜欢出“石头”的人通常具有攻击性,做事情习惯有挑战性。出“布”的人则控制欲比较强,一般都是当领埋型宴导的人。“剪刀”具有破坏力,说明这个人缺乏安全感,自我保护意识很强。
二、石头剪刀布儿歌歌词 石头剪刀布歌曲简介
1、《石头剪刀布》歌词如下:
这命运CHANCE的顺序 下一个就会眷顾你
不管失败再多的困难 下一次一定都要赢回来
只要你永远不放弃 梦想实现不是奇迹
一直在用力奔跑的你
努力过别怀疑 回报终会跟随着你
一个人常望着天 看白云 飘浮的一片
它们好像不会 在意脚步 不会争抢着快慢章节
就算在昨天停歇 起步晚 让脚步太慢
不经意间 风吹划过得线 已经在发生改变
总是太敏感的发觉 自己还存在欠缺
也在曾经 独自一人 烦恼难言
即使我止步不再往前也不会有何改变
命运就像猜拳一般 幸运不停地轮回转
就算从未降临直到现在 下一次也许就是你当班
失落放弃这不可以 难过哭泣也不可以
在漫长冬天的消逝之际
春天的脚步一定就会立刻的靠近
身边的朋友总是 一个人 接着一个人
不断前进向上用力攀登 这持续梦想般的阶梯
就算会落后一点 也无需 过多的焦急
不知何处随意吹起来的风 就会追逐超越这距离
生命路途中的人 与其攀比这人生
不如试着坚定相信 未来自己
朝着目标不断奔跑始终跟随自己节奏
心中朝着梦想方向 不再眺望其余地方
坚定自信从现在开始 放手去搏的我不再彷徨
无论未来发生什么 就勇敢伸出你的手
幸运是冲动带来的伙伴
尽自己所有力 全力奔跑在梦想之上
这命运CHANCE的顺序
总有一天就会降临
可能现在也许在途中
已经真实 感觉渐渐靠近
直到聆听到的瞬间 直到绽放光芒耀眼
不要再怀疑 相信自己
就会前所未有 用闪耀编写着奇迹
2、《石头剪刀布》是SNH48演唱的一首歌曲,是SNH48在2013年5月25日“星花为你绽放 Blooming For You”春季新歌演唱会上首次发表的。
三、白白的肚皮大大的尾巴是什么歌,什么歌曲的歌词
石头剪刀布
歌手:贝瓦儿歌
作曲:叶圣涛/周洁颖
作词:叶圣涛
吴子澜:白白的肚皮大大的尾巴
蔡欣妍:弯弯的嘴角对我笑哈哈
吴子澜:悄悄的告诉我世界的奇妙
合:每一颗小细胞都跟你赛跑
吴子澜:为什么夜里不能亲亲薯条
蔡欣妍:为什么虫虫在嘴里筑城堡
合:大道理被你唱成小调调
吴子澜:OH我知道啦星星太阳
合:爱玩躲猫猫噢巴拉巴拉呼石头剪刀布
小手打败大手乖乖我不服输,噢一二三四五说话要算数
贝瓦宝宝被我抱抱,谢谢你的礼物
吴子澜:白白的肚皮大大的尾巴
蔡欣妍:弯弯的嘴角对我笑哈哈
吴子澜:悄悄的告诉我世界的奇妙
合:每一颗小细胞都跟你赛跑
吴子澜闷野档:为什么夜里不能亲亲薯条
蔡欣妍:为什么虫虫在嘴里筑城堡大道理被你唱成小调调
吴子澜:OH我知道啦星星太阳
合:爱玩躲猫猫噢巴拉巴拉呼石头剪刀布
小手打败大手乖乖我不服输,噢一二三四五说话要算数
贝瓦宝宝被我抱抱,谢谢你的礼物
噢巴拉巴拉呼石头剪刀布,小手败给大手乖乖我不会哭
噢一二三四五吃饭到走路,贝瓦宝宝被我抱抱
陪伴我每一步,噢巴拉巴拉呼石头剪刀布
小手败给大手乖乖我不会哭,噢一二三四五吃饭到走路
贝瓦宝宝被我抱抱,陪伴我每一步陪伴我每一步

扩展资料
《石头剪刀布》由歌手贝瓦儿歌演唱的一首歌曲,出自于专辑《爱的魔法》中。《石头剪刀布》这首歌唱出了小朋友们的无限童真,天真无邪。
《贝瓦儿歌》由百度乐播独家首发,贝瓦儿歌专辑收录了贝瓦儿歌音乐作品,贝瓦儿歌音韵和谐、朗朗上口,让宝宝在贝瓦儿歌专辑里快乐学习。
儿歌中蕴含着丰脊运富的自然知识和生活常识,是帮助孩子认识事物蚂乱、了解世界的媒介之一。贝瓦儿歌集合了许多朗朗上口的经典曲目,它们语言活泼、歌词丰富,并呈现出鲜明的音乐性和节奏感,是培养孩子乐感和审美的重要途径。
希望通过童音原声的演唱和高品质的音效,能让宝宝在轻松、欢快、自然的状态下,聆听歌声,感受音乐魅力,健康的成长。
四、歌词白白的肚皮 大大的尾巴,弯弯的嘴角对我笑哈哈是什么歌

石头剪刀布
歌手: 橙色少年团|上海尚童星
专辑: 《橙色少年团》
发行时间: 2018-12-11
石头剪刀布 - 橙色少年团
词:周洁颖/叶圣涛
曲:叶圣涛
出品人:龚菲菲
厂牌:橙色星球
编曲:孔凡东
合音:刘郡格
主唱:陈烁宇(6岁)/周诗淇(5岁)/李心恬(6岁)/高博睿(5岁)/夏子骐(4岁)
推荐学校:上海尚童星偶像学院
夏子骐:
白白的肚皮 大大的尾巴
弯弯的嘴角 对我笑哈哈
高博睿:
悄悄的告诉我 世界的奇妙
每一颗小细胞 都跟你赛跑
陈烁宇:
为什么夜里 不能亲亲薯条
为什么虫虫 在嘴里筑城堡
李心恬:
大道理被你 唱成小调调
周诗淇:
Oh 我知道啦 星星太阳
合:
爱玩躲猫猫
噢 巴拉巴拉呼 石头剪刀布
小手打败大手 乖乖我不服输
噢 一二三四五 说话要算数
贝瓦宝宝 被我抱抱
谢谢你的礼物
白白的肚皮 大大的尾巴
弯弯的嘴角 对我笑哈哈
悄悄的告诉我 世界的奇妙
每一颗小细胞 都跟你赛跑
为什么夜里 不能亲亲薯条
为什么虫虫 在嘴里筑城堡兄前
大道理蔽档被你 唱成小调调
Oh 我知道啦 星星太阳
爱玩躲猫猫
噢 巴拉巴拉呼 石头剪刀布
小手打败大手 乖乖我不服输
噢 一二三四五 说话要算数
贝瓦宝宝 被我抱抱
谢谢你的礼物
噢 巴拉巴拉呼 石头剪刀布
小手败给大手 乖乖我不会哭
噢 一二三四五 吃饭到走路
贝瓦宝宝 被我抱抱
陪伴我每一步
噢 巴拉巴拉呼 石头剪刀布
小手羡并清败给大手 乖乖我不会哭
噢 一二三四五 吃饭到走路
贝瓦宝宝 被我抱抱
陪伴我每一步
陪伴我每一步
陪伴我 每一步
以上对于石头剪刀布儿歌的问题的4点解答,由涂画吧(tuhuaba.com)小编收集与互联网,希望对大家有用。
免责声明:本网信息来自于互联网,目的在于传递更多信息,并不代表本网赞同其观点。其内容真实性、完整性不作任何保证或承诺。如若本网有任何内容侵犯您的权益,请及时联系我们,本站将会在24小时内处理完毕。

川公网安备51010602001386号